
Metković,
4.12.2013. - S nadnaslovom Brojke ne lažu i velikim naslovom Metropola ipak liberalna - Zagrepčani na nedjeljnom referendumu dali 30 posto svih glasova PROTIV i samo 20 ZA, Jutarnji list, koji će valjda još cijelu 2014. dokazivati da je većina manjina, a manjina većina, ponudio je zanimljiv matematički dokaz da su Zagrepčani, unatoč činjenici što su 56 posto bili ZA, zapravo 30 posto bili PROTIV, a 20 posto ZA. To me podsjetilo na jednu zgodu iz gimnazijskih dana.
Jednom smo u trećemu razredu gimnazije htjeli ispasti pametni pa smo pok. prof. Mići Martiću podmetnuli „dokaz“ da jedan i jedan, odnosno jedan plus jedan nisu dva nego nula. Martić je na ploči pogledao naš izvod „dokaza“ i rekao da je sve naoko dobro postavljeno, ali da svaki pozitivan broj ima dva korijena, jedan pozitivan, a drugi negativan pa je naš „dokaz“ pao već na prvome koraku.
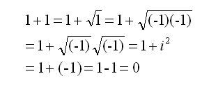
„Dokaz“ da je jedan plus jedan jednako nula počiva na dvjema pretpostavkama, koje su točne:

Sam „dokaz“ ide ovako:

Ako bih htio biti zločest kao spomenuti list, mogao bih reći kako zbog zanemarivanja činjenice da pozitivni brojevi imaju dva različita korijena onda jedan i jedan (jedna i jedna) uvijek daju nulu. Usput, u Metkoviću je PROTIV glasovalo točno 666 građana. Sada bi se i iz toga broja mogla razviti još jedna teorija.
A što se tiče teorije velikih brojeva, najbolje nas je sve preseliti u Zagreb. Ionako se gotovo ostvarila ona velikosrpska ideja da će Hrvatska biti samo ono što se vidi sa zagrebačke katedrale (prema novome pravopisu s malim slovom 'z').
Ivica Puljan